Prognostic and predictive significance of VEGF, CD31, and Ang-1 in patients with metastatic clear cell renal cell carcinoma treated with first-line sunitinib
DOI:
https://doi.org/10.17305/bjbms.2022.7675Keywords:
Carcinoma, Renal Cell, Sunitinib, VEGF-A, Ang-1, PECAM-1, CD31, Microvascular Density, Survival Rate, Progression-Free Survival, Fluorescent Antibody TechniqueAbstract
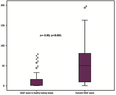
The most common type of renal cell carcinoma (RCC) is clear cell renal cell carcinoma (ccRCC), which has a high metastatic potential. Even though the International Metastatic RCC Database Consortium (IMDC) risk model is conventionally utilized for selection and stratification of patients with metastatic RCC (mRCC), there remains an unmet demand for novel prognostic and predictive markers. The goal of this study was to analyze the expression of Vascular endothelial growth factor (VEGF), Cluster of Differentiation 31 (CD31) to determine microvessel density, and Angiopoietin-1 (Ang-1) in primary kidney tumors, as well as their predictive and prognostic value in patients with metastatic ccRCC (mccRCC) who were treated with first-line sunitinib. The study included 35 mccRCC patients who were treated with first-line sunitinib in period between 2009 and 2019. Immunofluorescence was used to examine biomarker expression in tissue specimens of the primary tumor and surrounding normal kidney tissue. Median disease-free survival (DFS) was longer in patients with negative and low tumor VEGF score than in patients with medium tumor VEGF score (p=0.02). Those with low tumor CD31 expression had a longer median DFS than patients with high tumor CD31 expression (p=0.019). There was no correlation between Ang-1 expression and DFS. The expression of biomarkers in normal kidney tissue was significantly lower than in tumor tissue (p<0.001). In conclusion, higher VEGF scores and greater CD31 expression were associated with longer DFS, but neither of these biomarkers correlated with progression-free survival or overall survival.
Citations
Downloads
Downloads
Additional Files
Published
Issue
Section
Categories
License
Copyright (c) 2022 Marija Kraljević,, Inga Marijanović, Maja Barbarić, Emir Sokolović, Merima Bukva, Timur Cerić, Teo Buhovac

This work is licensed under a Creative Commons Attribution 4.0 International License.




